科研成果 | 中山大学王兴副教授与布里斯托大学合作发表非线性模型修正的研究进展
“内共振”是动力学领域的“幽灵”,它是高维非线性动力系统里一种特有的现象。早在上个世纪八十年代,理论推导和仿真计算就可以预测这一现象,但长期以来学术界对实际结构中内共振产生的条件认识不清,试验研究屈指可数,甚至在很多经典的教科书里将其误认为是“自由振动特有的现象”。受限于研究手段缺乏,飞行器研制过程并无相应的设计准测与试验方法。近年来,随着若干大型柔性飞行器服役过程中产生的异常振动甚至在轨失效被“归零”于内共振,这一独特的强耦合现象又重新受到了关注。美国空军研究实验室、美国伊利诺伊大学厄巴纳-香槟分校、美国威斯康辛大学、加拿大麦吉尔大学等若干一流的课题组开展了系统辨识方面的探索,以期通过实测数据得到含参模型来定量描述内共振现象。但这种思路一般依赖于预先知道研究对象的解析模型,因而适用范围较窄、研究对象的结构形式也较为简单。
中山大学航空航天学院王兴副教授与英国布里斯托大学的Tomas Hill讲师和Simon Neild教授合作,以Using mode shape residuals for model updating of a nonlinear structure featuring 1:1 internal resonance为题,在实验动力学领域顶刊Mechanical Systems and Signal Processing发表长文(21页),介绍了中大航院在这一领域的研究进展。文中面向复杂构型的非线性结构,系统的给出了内共振的定量试验、模型修正与验证的方法体系,并通过一个弯扭耦合结构的实际测试展示了所提方法的有效性与精确度,为学术界和工业界研究内共振现象、建立精准模型提供了新的思路。文章在录用后被特邀收录进一本纪念该刊前主编John Mottershead教授(有限元模型修正领域的开创者之一)的专刊(Invited for the Special Issue in Honor of Professor John Mottershead)。
文章首先指出了当前学术界和工业界普遍采用的以骨架线为目标的模型修正方法是不充分的(inadequacy),得到的模型甚至可能是错误的,文中结合作者此前的一个研究对象(王兴 等 MSSP 2019)给出了具体的出错案例。如图1所示为以骨架线为目标的初步修正结果,此模型计算得到的骨架线可以较好地匹配实测频响函数峰值的变化趋势,但是模型预测的全场响应与实测响应是完全不一致的。



图1 文中给出了以骨架线为目标的模型修正出错的案例:(上图)模型与实测数据骨架线匹配良好,但是(左图)D点模型预测响应和(右图) D点实测响应差异巨大
经过作者们多年的探索努力,文章揭示了这一不充分的根源在于没有引入骨架线上的非线性模态振型(NNM mode shape)作为修正的目标函数。经过理论推导,文中首次给出了“非线性模态振型的试验/模型残差方程”的定义,并结合该方程提出了振动试验与有限元模型修正的分步流程。这一模态振型残差的提出补全了原本不充分的非线性模型修正的目标函数体系。此外,该流程以有限元模型为修正对象,适用于构型更为复杂的飞行器结构。
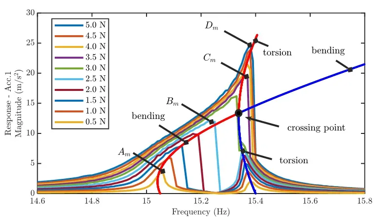
文中还展示了一个极为有趣的弯扭耦合结构1:1内共振的实验结果。如图3所示,结构的弯曲模态振幅可以调控扭转模态的“渐硬”和“渐软”特性,这个现象不仅十分罕见而且难以理解。借助修正后的精准动力学模型,作者解释了这源于非线性模态的耦合作用,即第一阶非线性模态(NNM 1)是“渐硬”的,它的模态振型会随着振幅的增大由纯弯曲逐渐变为弯曲-扭转共存;而第二阶非线性模态(NNM 2)是渐软的,它的模态振型呈现出扭转主导的特征。由此可见,修正后的模型可准确刻画实际结构中内共振发生的条件、模态间耦合的程度、强耦合带来的复杂响应等。
本文的试验研究不仅清晰的确认了内共振在系统受迫振动系统中的存在性,还充分说明了内共振是非线性系统内蕴的固有属性之一。此外,本文所采用的振动试验手段和提出的模型修正方法也给研究实际复杂工程结构中的内共振发生条件、开展定量实验、建立精准动力学模型提供了新的方法体系。
论文作者包含中山大学飞行器振动与测试实验室王兴副教授(第一作者兼通讯作者)、英国布里斯托大学Tomas Hill 讲师和Simon Neild教授。该研究得到了国家自然科学基金(No. 12072378和52005522)和深圳市优秀科技人才培养计划(优青项目)(RCYX20210706092137055)等项目的资助。
文章链接:https://www.sciencedirect.com/science/article/pii/S0888327024010392
文案 | 王兴
排版 | 张斌
初审 | 张怀钦
审核 | 张锦绣 赵晓江
审核发布 | 罗愈业


